【成果推介】一种手性腈类化合物的合成方法
浏览次数: 发布日期:2024-09-05 15:28
【成果推介】一种手性腈类化合物的合成方法
【应用行业】化学化工
【技术领域】有机合成技术
【知识产权】发明专利
【成果完成单位】华中师范大学
【成果完成人姓名】陈加荣、张斌、宋禄彤、李凌涯、肖文精
【完成人团队简介】团队主要研究不对称催化方法学研究,光氧化还原催化,手性小分子药物先导合成。
【成果完成时间】2022-05-13
【专利号】CN2022105225063
【授权日期】2024-03-05
【技术成熟度】研发阶段
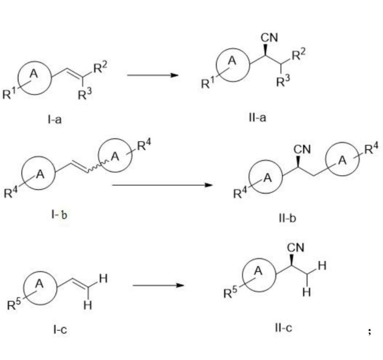
【应用背景】手性腈类化合物在合成化学中有着广泛的应用,在一定条件下可以转化为羧酸、酰胺、醛、酮类化合物和一些杂环化合物。此外腈类化合物在药物化学中也有着广泛的应用,是众多药物分子的合成前体,例如腈类化合物水解后得到的羧酸类化合物是一些常见的非甾体抗炎药的结构。因此对手性腈类及其衍生物的合成引起了越来越多有机化学工作者和药物化学工作者的研究兴趣。近些年来,过渡金属催化的不对称氰基化反应的研究不断发展,总体上还是面临着一些问题,比如苛刻的反应条件或是需要额外加入硅氢试剂等,而通过光催化与铜催化结合的方式来实现烯烃的不对称氢氰化的例子并未见报道。
【成果简介】本成果涉及一种手性腈类化合物的合成方法,包括如下步骤:在惰性气体保护下,在有机溶剂中,在光催化剂Ph‑PTZ、铜催化剂、手性恶唑啉配体、TMSCN、水和紫灯照射存在下,将芳基乙烯类化合物转化为手性芳基乙腈类化合物,该方法反应条件温和、合成路线简单、制备方法高效。
【成果图片】

【联系方式】段治国、安红高、刘树楠、吴涛,02767868068,02767868067,02767862769

