【成果推介】一种课堂教学行为事件描述模型的构建方法及系统
【成果推介】一种课堂教学行为事件描述模型的构建方法及系统
【应用行业】教育
【技术领域】计算机技术、智慧教育技术
【知识产权】发明专利
【成果完成单位】华中师范大学
【成果完成人姓名】陈增照、李佳文、戴志诚、何秀玲、鲁圆圆、孟秉恒、朱胜虎
【完成人团队简介】团队主要研究图像处理与模式识别;视、音频分析;智能教学环境;教育大数据分析。
【成果完成时间】2021-08-16
【专利号】CN2021109390474
【授权日期】2024-02-13
【技术成熟度】研发阶段
【应用背景】课堂教学行为事件主要是指教师在课堂中的教学行为组成的事件,对教师的课堂教学行为进行事件划分能够更好地对教师的教学行为进行分析。现在对教师的教学行为进行分析评价的主要方式为传统人工的方式,但是人工对课堂视频中地教学行为进行划分进而评价教师的课堂行为,受主观因素影响较大,对客观描述教学事件有负面的影响。
虽然也有极少数的课堂视频切割系统,但大多直接按照固定的时间对课堂进行划分,划分为时间上相等的不同事件。然而,规定每个事件的时间很可能会使得教师的一句话被拆分成了两个事件,会导致教师的教学行为在同一个事件里是支离破碎的,直接破坏了教师非言语行为的完整性。
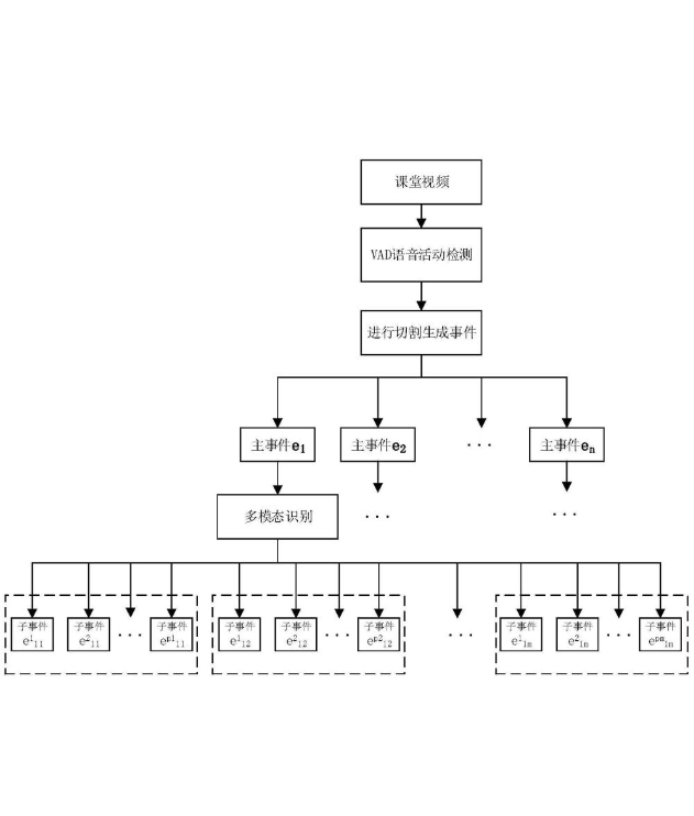
【成果简介】本成果发明了一种课堂教学行为事件描述模型的构建方法及系统。该构建方法包括如下步骤:获取待训练的课堂教学视频数据;利用语音活动检测技术,将待训练的课堂教学视频数据按照教师的话语划分成多个事件;利用多种人工智能技术对所有事件进行多模态识别,划分为多个维度下的子事件,根据子事件建立事件描述模型,对教师在课堂中的各项教学行为事件进行描述。本成果根据语音对课堂视频进行切割,能够最大程度上保证每一个事件中教师非言语行为的完整性;且通过提取不同事件之间的共性,建立统一描述所有事件的描述模型,不仅能完成对教师各项教学行为的描述,还能反映出事件与事件之间的关联性,使得事件不再是孤立的。
【成果图片】

【联系方式】段治国、安红高、刘树楠、吴涛,02767868068,02767868067,02767862769

