首页 学术动态
吴安心教授课题组在雕白粉的多样性转化研究取得新进展
环境保护已经是当下全社会关注的核心问题,而雾霾和酸雨的治理是我国目前坚持可持续发展战略所要面对的重大挑战之一。雾霾和酸雨的主要成因之一是二氧化硫的过量排放。二氧化硫的直接应用价值有限,雕白粉是一种重要的二氧化硫下游产品,价格低廉(约1.2万元/吨),因此,开发利用二氧化硫下游化工产品雕白粉的附加价值将是解决二氧化硫污染物排放问题的重要手段和途径。
当下雕白粉在工业生产中的应用较为广泛,例如:雕白粉可以作为拔染剂用于印染工业,还可以用于合成橡胶、制糖及乙烯化合物的聚合反应等,但是其在有机合成中的应用则相对较少。由于雕白粉同时具备C1单元及二氧化硫阴离子的特殊结构,使得其具有在反应中充当碳源、砜源、单电子转移试剂及还原剂等多重用途于一身的多功能试剂的潜力(图1)。吴安心教授课题组自2015年以来一直致力于多功能试剂雕白粉的多样性转化研究(Org. Lett., 2016, 18, 524−527; Chem. Commun., 2018, 54, 7641−7644; Org. Biomol. Chem., 2019, 17, 1535−1541; Org. Lett. 2019, 21, 8934−8937; Chem. Commun., 2020, 56, 13653−13656; Org. Lett. 2022, 24, 223−227)。近日,该团队利用雕白粉作为栓系的C-S合成子,与氧化锍叶立德实现了多重单原子linker参与下的[1+1+1+1+1+1]环化反应,合成了一系列四氢-2H-硫吡喃1,1-二氧化物。相关成果以“Synthesis of Tetrahydro 2H thiopyran 1,1-Dioxides via [1+1+1+1+1+1] Annulation: An Unconventional Usage of a Tethered C−S Synthons”为题发表在Organic Letters(DOI: 10.1021/acs.orglett.2c03194)上。论文第一作者为华中师范大学2020级博士研究生陈翔龙,通讯作者为吴彦东老师和吴安心教授。

图1. 雕白粉作为碳源、砜源参与的系列反应(来源:Organic Letters)
氧化锍叶立德作为廉价易得的反应底物,可以充当多种不同的反应砌块用以实现复杂环化分子的构筑。根据反应点位的差异,氧化锍叶立德的环化反应模式可以粗略的分为以下五类(图2 A)。其中,由于单碳合成子的稀缺性,氧化锍叶立德充当C1单元的反应受到了广泛的关注。
吴安心教授课题组利用雕白粉兼具亲核与亲电的反应特性,以简单易得的氧化锍叶立德作为起始原料实现了四氢-2H-硫吡喃-1,1-二氧化物的一步构筑。该方法通过[1+1+1+1+1+1]环化反应实现,于一锅之中构建六个新键。雕白粉在此反应中充当三重C1合成子及砜源。且机理研究表明,反应当中涉及两种不同的增碳模式(图2 C)。

图2. 氧化锍叶立德的不同环化反应模式以及反应设计(来源:Organic Letters)
为了优化反应收率,作者以氧化锍叶立德和雕白粉(Rongalite)作为模板底物对反应条件进行了筛选,发现氧化锍叶立德在3.0当量雕白粉及2.5当量醋酸钠的存在下于80 ℃的DMSO中反应6小时,可以以74%的分离收率得到目标产物。
随后作者考察了该[1+1+1+1+1+1]环化反应的兼容性(图3)。首先,对于烷基、卤素及烷氧基取代的氧化锍叶立德,能以59%-77%的产率得到目标化合物(3a-3j)。当吸电子基取代的氧化锍叶立德(4-CF3、4-OCF3、4-SCF3)作为反应底物时,反应产率会有一定的下降(3k–3m),间位和邻位取代的氧化锍叶立德作为反应底物时能良好地兼容于该反应(3n-3u)。多取代氧化锍叶立德作为反应底物时,可能受到位阻效应的影响导致收率较低(3v-3ab)。最后,将芳基氧化锍叶立德的苯环替换为萘环或噻吩环时,反应也能够顺利进行(3ac–3ae)。

图3. [1+1+1+1+1+1]环化反应的底物普适性考察(来源:Organic Letters)
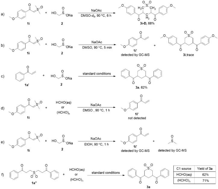
作者进行了一系列的机理验证实验。首先,将氧化锍叶立德(1i)与雕白粉在DMSO-d6中进行反应,得到的产物中并未发现氘代痕迹,说明环化产物中的C1单元并非来源于溶剂DMSO(图4 a)。随后,通过缩短反应时间至5分钟,可以监测到中间体1i'及少量的产物(图4 b)。将1a'与雕白粉在标准条件下进行反应,可以得到目标产物3a,进一步证明了烯酮中间体的合理性(图4 c)。为了探索氧化锍叶立德的增碳模式,将氧化锍叶立德与甲醛直接进行反应,发现并未有烯酮中间体生成(图4 d)。而将氧化锍叶立德1i与雕白粉置于乙醇溶液中进行反应,发现不会得到环化的目标产物,而GC-MS显示生成了烯酮中间体1i'与DMSO,说明氧化锍叶立德不能与甲醛反应而是直接与雕白粉进行反应(图4 e)。最后,将1a''与甲醛置于标准条件下进行反应,发现可以得到环化产物3a,说明反应历程涉及中间体1a''以及甲醛(图4 f)。

图4. 机理探究实验(来源:Organic Letters)
基于上述的控制实验和相关的参考文献,作者提出了可能的反应机理(图5)。首先,氧化锍叶立德(1)会直接与雕白粉(2)发生亲核取代得到中间体A,同时释放二氧化硫阴离子。中间体A在碱的作用下脱水得到亚甲基中间体B,亚甲基中间体B随后被雕白粉或二氧化硫阴离子还原为烯酮中间体1'。两分子的1’与雕白粉或二氧化硫阴离子发生连续的两次硫-迈克尔加成得到中间体1'',随后1''通过互变得到中间体C,中间体C对雕白粉分解出的甲醛进攻得到中间体D。羟甲基中间体D脱水后得到中间体E, E随后发生分子内迈克尔加成得到最终目标产物3。

图5. 可能的反应机理(来源:Organic Letters)
综上所述,吴安心教授课题组利用雕白粉及氧化锍叶立德开发了一例新颖的[1+1+1+1+1+1]环化反应。值得注意的是,在该反应中雕白粉作为栓系的C-S合成子可以被化学选择性地引入到目标产物当中。此外,当雕白粉充当C1单元时涉及了两种不同的增碳模式。该反应不仅开发了氧化锍叶立德的全新反应模式,还拓宽了雕白粉同时作为碳源和砜源的应用场景,为有机合成中C、S原子的引入提供了全新的思路。
本项研究工作得到了国家自然科学基金(21971079、21971080、22171098)的大力资助。

吴安心教授课题组简介:
吴安心课题组自2003年成立以来一直从事超分子化学和有机方法学研究。研究侧重点是基于分子集群的自分类原理探寻小分子自组织合成复杂结构体的内在规律,从而产生新颖的合成设计策略和探索新型合成方法学,并由此探求药物分子高效简洁的合成新方法,实现活性天然产物的一锅直接全合成;所开拓的I2-DMSO组合试剂介导下基于原位捕获甲基酮构建杂环的反应系统被学界誉为是杂环合成工具箱(a powerful tool in the one-pot synthesis of heterocycles),在有机合成领域得到广泛应用。近年来,课题组开展了金属化学和自由基化学的研究,并取得了阶段性成果。课题组已经在国际知名学术期刊发表论文200余篇,包括J. Am. Chem. Soc.、Angew. Chem. Int. Ed.、Nat. Commun.、Org. Lett.、Chem. Commun.、Org. Chem. Front.、Adv. Synth. Catal.、J. Org. Chem.、Chem. Eur. J.等国际知名期刊。课题组目前有博士5名、硕士10名。

